近日,中国农业科学院都市农业研究所设施园艺作物病虫害绿色防控团队解析了成虫日龄、环境温湿度等生物与非生物因素与重要迁飞性害虫旋幽夜蛾飞行能力的关系,相关成果发表于Agronomy期刊上。海南大学博士研究生孙晓婷和都市所科研助理周亚涛为论文第一作者,都市所科研骨干何莉梅博士为通讯作者,中国农业科学院植物保护研究所吴孔明院士对本研究提供了指导与平台支持。

生物与非生物因素对旋幽夜蛾飞行能力的影响
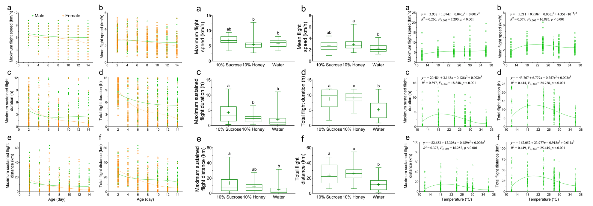
旋幽夜蛾是一种间歇性局部暴发成灾的多食性害虫,可对甜菜、棉花、甘蓝等作物造成严重危害。已有证据表明该物种存在季节性迁飞现象,但目前关于影响其飞行能力的关键因素尚不明确。阐明该物种的飞行能力对于预测其远距离扩散、识别虫源地和迁入地、提升区域性害虫预测预报水平具有重要意义。本研究利用计算机监测的飞行磨系统,测定了旋幽夜蛾的飞行能力及其影响因素。结果表明:羽化后2日龄的旋幽夜蛾成虫飞行能力最强,之后随日龄增加而显著下降。在24°C、80%相对湿度条件下吊飞12 h,2日龄雄虫和雌虫的总飞行距离分别为38.90±1.21 km和31.70±1.56 km。吊飞24 h条件下,3日龄成虫的最大飞行速度为19.68 km/h,单次最长飞行时间为17.38 h,总飞行时间为23.89 h,单次最长飞行距离为69.64 km,总飞行距离为96.56 km。温度和相对湿度显著影响旋幽夜蛾的飞行能力,在18–28°C和35%–80%相对湿度条件下飞行能力最佳。饲喂蜂蜜或蔗糖可显著增强其飞行能力。此外,不同日龄旋幽夜蛾成虫的振翅频率存在差异,范围为31.90–57.65 Hz。雌虫振翅频率在2日龄时达到峰值(46.72±0.25 Hz),而雄虫则在10日龄时达到峰值(47.18±0.66 Hz)。研究结果不仅加深了对旋幽夜蛾迁飞基础特性的认识,也具有实际应用价值,包括优化害虫治理策略、改进化学杀虫剂和生物防治剂的使用方法,以及提升综合害虫管理项目中的决策水平。本研究得到国家自然科学基金、中国农业科学院都市农业研究所青年创新计划专项和中国农业科学院科技创新工程项目资助。


